相关内容
-
如何烧结出致密的氧化铝陶瓷
氧化铝陶瓷具有高绝缘性、高隔热性、耐腐蚀、硬度高等优点,可广泛用于制造坩埚、发动机火花塞、高温耐火材料、热电偶套管、绝缘基片、密封环、刀具模具等。
-
HTCC陶瓷基板:高温工艺背后的高可靠性优势解析
在5G通信、新能源汽车、航空航天等高端制造领域,电子器件对稳定性的要求日益严苛,而HTCC陶瓷基板凭借高温工艺赋予的卓越性能,成为保障设备长效日益严苛,而HTCC陶瓷基板凭借高温工艺赋予的卓越性能,成为保障设备长效运行的核心材料。这种经1500-1600℃高温共烧而成的基板,用“烈火淬炼”的工艺换来了无可替代的可靠性优势。
-
陶瓷基板是昂贵易碎品?
提到 “陶瓷”,人们易联想到易碎品;提到 “电子元件”,常关联廉价材料。当二者结合成 “陶瓷基板”,不少人给它贴上 “昂贵脆弱”“冷门” 标签,但事实并非如此。今天我们就来逐一打破关于陶瓷基板的 3 个常见偏见,看看这个藏在电子设备里的 “硬核选手”,到底有多少被误解的实力。
-
从卫星到医疗:陶瓷基板的 “跨界渗透” 有多惊艳
在大众认知里,陶瓷基板似乎总与新能源汽车、5G 通信等热门领域绑定,是功率器件的 “散热管家”。但很少有人知道,这个看似 “专精” 的材料,早已悄悄跨界,在卫星通信、医疗设备等高精尖领域挑起大梁。从 3.6 万公里高空的低轨卫星,到手术室里的精准医疗设备,陶瓷基板凭借其独特的性能优势,打破了一个又一个技术瓶颈。今天,我们就来揭开陶瓷基板 “跨界高手” 的面纱,看看它如何在极端环境与精密场景中绽放惊艳实力。
基础元器件:MLCC陶瓷电容
1、前言
电子元器件之一电容种类繁多,而陶瓷电容是用得最多种类,没有之一,因此硬件工程师必须熟练的掌握其特性。
作为一个工作多年的硬件工程师,笔者结合自身经验,通过查阅各种资料,针对硬件设计需要掌握的重点及难点,总结了此文档。通过写文档,目的是能够使自己的知识更具有系统性,温故而知新,同时也希望对读者有所帮助,大家一起学习和进步。
2、电容的定义
2.1 电容的本质
两个相互靠近的导体,中间夹一层不导电的绝缘介质,这就构成了电容器。当电容器的两个极板之间加上电压时,电容器就会储存电荷。
2.2 电容量的大小
电容器的电容量在数值上等于一个导电极板上的电荷量与两个极板之间的电压之比。电容器的电容量的基本单位是法拉(F)。在电路图中通常用字母C表示电容元件。
电容量的大小公式:

Er:两极板间介质的介电常数
S:两极板间的正对面积
k:静电常数,等于k=8.987551×10^9N·m^2/C^2
d:两极板间的距离
化简后的公式是:

想使电容容量大,有三种方法:
①使用介电常数高的介质
②增大极板间的面积
③减小极板间的距离。
3、MLCC陶瓷电容物理结构

MLCC(Multi-layer Ceramic Capacitors)是片式多层陶瓷电容器英文缩写。是由印好电极(内电极)的陶瓷介质膜片以错位的方式叠合起来,经过一次性高温烧结形成陶瓷芯片,再在芯片的两端封上金属层(外电极),从而形成一个类似独石的结构体,故也叫独石电容器。

可以看到,内部电极通过一层层叠起来,来增大电容两极板的面积,从而增大电容量。
陶瓷介质即为内部填充介质,不同的介质做成的电容器的特性不同,有容量大的,有温度特性好的,有频率特性好的等等,这也是为什么陶瓷电容有这么多种类的原因。
4、陶瓷电容的基本参数
4.1 电容的单位
电容的基本单位是:F(法),此外还有μF(微法)、nF、pF(皮法),由于电容F的容量非常大,所以我们看到的一般都是μF、nF、pF的单位,而不是F的单位。
它们之间的具体换算如下:
1F=1000000μF
1μF=1000nF=1000 000pF
4.2 电容容量
常用陶瓷电容容量范围:0.5pF~100uF。
实际生产的电容的陶瓷容量值也是离散的,常用电容容量如下表:

陶瓷电容容量从0.5pF起步,可以做到100uF,并且根据电容封装(尺寸)的不同,容量也会不同。
选购电容器不能一味的选择大容量,选择合适的才是正确的,例如0402电容可以做到10uF/10V,0805的电容可以做到47uF/10V,但是为了好采购、成本低,一般都不会顶格选电容。
一般推荐0402选4.7uF-6.3V,0603选22uF/6.3,0805选47uF/6.3V,其它更高耐压需要对应降低容量。
满足要求的情况下,选择主要就看是否常用,价格是否低廉。
4.3 额定电压
陶瓷电容常见的额定电压有:2.5V、4V、6.3V、10V、16V、25V、50V、63V、100V、200V、250V、450V、500V、630V、1KV、1.5KV、2KV、2.5KV、3KV等等。
4.4 电容类型
同介质种类由于它的主要极化类型不一样,其对电场变化的响应速度和极化率亦不一样。在相同的体积下的容量就不同,随之带来的电容器的介质损耗、容量稳定性等也就不同。介质材料划按容量的温度稳定性可以分为两类,即Ⅰ类陶瓷电容器和Ⅱ类陶瓷电容器, NPO属于Ⅰ类陶瓷,而其他的X7R、X5R、Y5V、Z5U等都属于Ⅱ类陶瓷。
MLCC陶瓷电容主要分为2大类:高节介电常数型和温度补偿型

国内:风华FH、宇阳科技EYANG、信昌电陶PSA、三环CCTC等等。村田muRata、松下PANASONIC、三星SAMSUNG、太诱TAIYO YUDEN、TDK、威世VISHAY、国巨YAGEO等等。4.5
5、陶瓷电容的特点
5.1 电容实际电路模型
电容作为基本元器件之一,实际生产的电容都不是理想的,会有寄生电感,等效串联电阻存在,同时因为电容两极板间的介质不是绝对绝缘的,因此存在数值较大的绝缘电阻。
所以,实际的电容模型等下如下图:

5.2 阻抗-频率特性
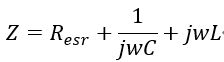
根据上述电容模型,我们可以得到电容的复阻抗公式:

实际陶瓷电容的绝缘电阻时非常大的,是兆欧姆级别的,所以R远大于,所以简化公式为:

其中为容抗,为感抗,为等效串联电阻。很容易看出,在频率比较低(比较小)的时候,容抗远大于感抗,电容主要成容性,在频率比较高的时候,电容主要呈感性。
而当,即谐振的时候,阻抗等于等效串联电阻,此时阻抗达到最小值,如果是用来滤波的话,此时效果最好。
某村田10uF电容的阻抗频率曲线如下图:

注意,这个坐标系是对数坐标系,纵轴为复阻抗的模。
5.3 谐振频率
从上小节可知,电容在谐振频率处阻抗最低,滤波效果最好,那么各种规格的电容的谐振频率是多少呢?
下图是村田常用电容的谐振频率表:

频率曲线如下图:

5.4 等效串联电阻ESR
从上小节可以看出,陶瓷的等效串联电阻并不是恒定的,它是跟频率有很大的关系。上述10uF电容在100hz的时候,ESR是3Ω,在700Khz的时候达到最小,ESR是3mΩ,相差了1000倍,是非常大的。
我们非常关心陶瓷电容的ESR到底是多大,特别用在开关电源的时候,需要用来计算纹波的大小。那么各中电容型号的ESR是多少呢?
下图为村田普通电容的ESR表。

ES频率曲线如下图:

5.5 精度大小
相对于电阻的精度来说,电容的精度要低很多,以下是一般电容的精度。
同一类型的电容精度一般厂家会生产2~4种精度的档次共选择。
电容类型 | 精度档次 |
NP0(C0G)(0.5pF~4.9pF) | B(±0.1pF); C(±0.25pF) |
NP0(C0G)(5.0pF~9.9pF) | D(±0.5pF) |
NP0(C0G)(≥10pF) | F(±1%), G(±2%), J(±5%),K(±10%) |
X7R | J(±5.0%);K(±10%);M(±20%); |
X5R | J(±5.0%);K(±10%);M(±20%); |
Y5V | M(±20%);Z(-20%,+80%) |
5.6温度特性
不同类型的电容的工作温度范围是不同的、并且其容量随温度的变化也不同,相差非常大,如下表
温度特性对照表 | ||
电容型号 | 工作温度范围 | 容量随温度变化值 |
C0G(NP0) | -55~125℃ | 0±30ppm/℃ |
X7R | -55~125℃ | ±15% |
X6S | -55~105℃ | ±22% |
X5R | -55~85℃ | ±15% |
Y5U | -30~85℃ | +22%/-56% |
Y5V | -30~85℃ | +22%/-82% |
Z5U | 10~85℃ | +22%/-56% |
Z5V | 10~85℃ | +22%/-82% |
在设计电路的时候,需要考虑不同电容的温度系数,按照使用场景选择符合要求的电容。在一些对电容容量由要求的地方,就不能选择Y或者Z系列的电容。

5.7直流偏压特性
陶瓷电容的另外一个特性是其直流偏压特性。
对于在陶瓷电容器中又被分类为高诱电率系列的电容器(X5R、X7R特性),由于施加直流电压,其静电容量有时会不同于标称值,因此应特别注意。
例如,如下图所示,对高介电常数电容器施加的直流电压越大,其实际静电容量越低。
容值越高的电容,直流偏压特性越明显,如47uF-6.3V-X5R的电容,在6.3V电压处,电容量只有其标称值的15%左右,而100nF-6.3V-X5R的电容容值为其标称值的,如下图。

那么,DC偏压特性的原理是怎样的呢?
陶瓷电容器中的高诱电率系列电容器,现在主要使用以BaTiO3 (钛酸钡) 作为主要成分的电介质。
BaTiO3具有如下图所示的钙钛矿(perovskite)形的晶体结构,在居里温度以上时,为立方晶体(cubic),Ba2+离子位于顶点,O2-离子位于表面中心,Ti4+离
子位于立方体中心的位置。

上图是在居里温度(约125℃)以上时的立方晶体(cubic)的晶体结构,在此温度以下的常温领域,向一个轴(C轴)延长,其他轴略微缩短的正方体(tetragonal)晶体结构。
此时,作为Ti4+离子在结晶单位的延长方向上发生了偏移的结果,产生极化,不过,这个极化即使在没有外部电场或电压的情况下也会产生,因此,称为自发极化(spontaneous polarization)。像这样,具有自发极化,而且可以根据外部电场转变自发极化的朝向的特性,被称为强诱电型(ferro electricity)。

与单位体积内的自发极化的相转变相同的是电容率,可视为静电容量进行观测。
当没有外加直流电压时,自发极化为随机取向状态,但当从外部施加直流电压时,由于电介质中的自发极化受到电场方向的束缚,因此不易发生自发极化时的自由相转变。其结果导致,得到的静电容量较施加偏压前低。
这就是当施加了直流电压后,静电容量降低的原理。
此外,对于温度补偿用电容器 (CH、C0G特性等) ,以常诱电性陶瓷作为主要原料,静电容量不因直流电压特性而发生变化。
5.8 漏电流和绝缘电阻
陶瓷电容绝缘电阻比较大,漏电流小。
绝缘电阻主要与容量有关,容量越大,漏电流越大,下面列出村田的几种普通电容的绝缘电阻表格,可供参考。
电容型号 | 绝缘电阻 | 额定电压下漏电流 |
10pF_CH_0603_50V | ≥10000MΩ | ≤0.005uA |
100pF_C0G_0603_50V | ≥10000MΩ | ≤0.005uA |
1nF_X7R_0603_50V | ≥10000MΩ | ≤0.005uA |
10nF_X7R_0603_50V | ≥10000MΩ | ≤0.005uA |
100nF_X7R_0603_50V | ≥500MΩ | ≤0.1uA |
1uF_X7R_0603_25V | ≥50MΩ | ≤0.5uA |
10uF_X5R_0603_10V | ≥5MΩ | ≤2uA |
47uF_X5R_0805_6.3V | ≥1.06MΩ | ≤5.94uA |
6、常见问题
6.1 机械应力导致电容失效
陶瓷电容最坑的失效就是短路了,一旦陶瓷电容短路,产品无法正常使用,危害非常大,那么造成短路失效的原因是什么呢?
答案是机械应力、机械应力会产生裂纹,从而是电容容量变小或者是短路。

为什么会产生扭曲裂纹呢?这是由于贴片是焊接在电路板上的。对电路板施加过大的机械力、使得电路板弯曲或老化,从而产生了扭曲裂纹。

扭曲裂纹从下面的外部电极的一端延伸到上面的外部电极的话,容量就会下降,使得电路呈现出开路状态(开放)。因此,即使裂纹不是十分严重,如果到达贴片内部电极,焊剂中的有机酸和湿气会通过裂纹的缝隙侵入,导致绝缘电阻性能降低。另外,电压负荷会变高,电流的流量过大时,最糟糕的情况会导致短路。
一旦出现了扭曲裂纹,是很难从外面将其去除的,因此为了防止裂纹的产生,应当控制不要施加过大的机械力。
一般电容封装越大,越容易产生机械应力失效。
6.1.2 机械应力行为
那么,常见会出现应力的行为有哪些呢?
①贴片原因:贴片机拾取电容力度过大,施力点不在中心,电容不平都可能碰坏电容。
②过量焊锡:当温度变化时,过度的焊锡在贴片电容器上面产生很高的张力,从而是电容器断裂,焊锡不足时又会使电容器从PCB上剥离。

③PCB弯曲:焊接到PCB板上后,PCB弯曲,拉动瓷片电容,过应力后损坏。

④跌落、碰撞:PCB/成品跌落导致振动或变形,使电容受到机械应力。
⑤手工焊接:突然加热或冷却导致张力比较大(解决办法是先预热)
6.1.3 PCB设计注意事项
电容放置方向平行于PCB弯曲方向,放置位置远离PCB大形变位置。避免电容在长边受力,如下图,右边的电容摆放就就左边要好。

下图PCB拼板,受力大小是:A>B、A>B、A>C、A>D

电容也需要远离螺丝孔、减小应力。

6.2 啸叫

陶瓷电容器的"啸叫"现象,其振动变化仅为1pm~1nm左右,为压电应用产品的1/10至几十分之一,非常之小,因此我们可以判断这种现象对独石陶瓷电容器本身及周围元器件产生的影响,不存在可靠性问题。
先进陶瓷行业盛会
值得关注的是,“第十八届中国国际先进陶瓷展览会”将于2026年3月24-26日在国家会展中心(上海)隆重举办!
历经十七载精耕细作,已发展成为全球规模最高、产业链覆盖最全的行业期间盛会。展会以55,000㎡的宏大规模,汇聚多个国家及地区的1000余家中外知名企业,打造全球先进陶瓷领域的“创新策源地”与“商贸枢纽站”,专业观众预计突破80,000人次,将打开万亿级市场的战略窗口。展会将搭建起供需精准匹配的高效平台,助力企业链接优质资源,拓展全球市场,推进先进陶瓷产业向高端化、智能化、国际化迈进,书写全球先进陶瓷产业发展的新篇章!
同期举办的第七届先进陶瓷前沿与产业发展论坛与2026第四届电子陶瓷及元器件产业发展论坛围绕先进陶瓷与电子陶瓷材料创新、制备工艺、器件设计、应用开发及产业链协同等前沿议题展开深入探讨,助力行业实现升级创新与可持续发展。
现【观众预登记】正式开启,免费登记通道将于3月23日晚上12:00正式关闭,提前预登记免费领取电子参观证!识别下图了解更多:

提前预登记,免费领取电子参观证
*免费领票通道截止至3月23日晚24时
声 明:文章内容来源于硬件工程师炼成之路。仅作分享,不代表本号立场;图片非商业用途。如有侵权,请联系小编删除,谢谢!






沪公网安备31011802004982